钢结构的强度高、延性好、重量轻,抗震性能好。总体来说,在同等场地、烈度条件下,钢结构房屋的震害较钢筋混凝土结构房屋的震害要小。由于,地震的不确定性,及地震的不可预测性,总结震害经验发现:对于抗震设计来说,“概念设计”远比“计算设计”更重要。然而抗震设计的重要性和丰富内涵往往在严格的规范规定和一体化的程序设计中被淡化了。
钢结构房屋属于装配式结构,其抗震设计不仅要遵守各类结构共同的基本规定外,还要针对钢结构的特点,采取专
门的设计手法。希望通过京泊兴小编的介绍我们都能
■ 掌握:多层钢结构房屋的抗震计算;高层钢结构的抗震计算。
■ 理解:钢构件的抗震设计与构造措施;钢节点及连接的抗震计算与构造措施;
■ 了解:钢结构的震害及破坏特点;多层钢结构房屋的抗震构造措施。高层钢结构的体系与布置;
钢结构的震害特点
钢结构的特点
(1)各向同性的均质材料,质量易保证,结构的可靠性好;
(2)轻质高强,比强度高,可减小结构所受地震作用;
(3)良好的延性,使结构具有较大的变形能力,保证结构的抗震安全性;
(4)构件细、薄、长,宜发生失稳破坏;
(5)高温下软化,丧失承载能力,防火性能差。
(6)宜锈蚀,耐久性差。
(7)若设计、施工不当,可能发生脆性破坏。
钢结构的破坏形式
(1)框架节点区的梁柱焊接连接破坏;
(2)竖向支撑的整体失稳和局部失稳;
(4)钢柱脆断;
(5)支撑及其连接的破坏;
(6)梁柱节点的破坏。
高层钢结构的选型与布置
高层钢结构的体系
高层钢结构的结构体系主要有框架体系、框架-支撑(剪力墙板)体系、筒体体系(框筒、筒中筒、桁架筒、束筒等)和巨型框架体系。
(1)框架体系
框架体系是沿房屋纵横方向由多榀平面框架构成的结构。这类结构的抗侧力能力主要决定于梁柱构件和节点的强度与延性,故节点常采用刚性连接节点。
(2)框架-支撑体系
框架-支撑体系是在框架体系中沿结构的纵、横两个方向均匀布置一定数量的支撑所形成的结构体系。
支撑体系的布置由建筑要求及结构功能来确定。

①支撑类型
支撑类型的选择与是否抗震有关,也与建筑的层高、柱距以及建筑使用要求有关,
A.中心支撑
中心支撑是指斜杆、横梁及柱汇交于一点的支撑体系,或两根斜杆与横杆汇交于一点,也可与柱子汇交于一点,但汇交时均无偏心距。
B.偏心支撑
偏心支撑是指支撑斜杆的两端,至少有一端与梁相交(不在柱节点处),另一端可在梁与柱交点处连接,或偏离另一根支撑斜杆一段长度与梁连接,并在支撑斜杆杆端与柱子之间构成一耗能梁段,或在两根支撑与杆之间构成一耗能梁段的支撑。
(3)框架-剪力墙板体系
框架-剪力墙板体系是以钢框架为主体,并配置一定数量的剪力墙板。
剪力墙板主要类型:
①钢板剪力墙板
②内藏钢板支撑剪力墙墙板
③带竖缝钢筋混凝土剪力墙板
(4)筒体体系
筒体结构体系可分为框架筒、桁架筒、筒中筒及束筒等体系。
(5)巨型框架体系
巨型框架体系是由柱距较大的立体桁架梁柱及立体桁架梁构成。
高层钢结构的布置原则
1.各种钢结构体系建筑的适用高度
适用的钢结构房屋最大高度(m)
2.各种钢结构体系建筑的适用高宽比
适用的钢结构房屋最大高宽比
3.高层钢结构的布置要求
高层钢结构房屋除了满足一般的规定外,尚应符合
①支撑框架在两个方向的布置均宜基本对称,支撑框架之间楼盖的长宽比不宜大于3
②设置地下室时,框架-支撑(抗震墙板)结构中竖向连续布置的支撑(抗震墙板)应延伸至基础;钢框架柱应至少延伸至地下一层,其竖向荷载应直接传至基础;
③8、9度时,宜采用偏心支撑、带竖缝钢筋混凝土抗震板墙、内藏钢板支撑或其他消能支撑;
④一般情况下,对不超过12 层的钢结构房屋可采用框架结构、框架-支撑结构或其他结构类型;
⑤超过12 层的钢结构房屋,8 度、9 度时,宜采用偏心支撑、带竖缝钢筋混凝土抗震墙板、内藏钢支撑钢筋混凝土墙板或其他消能支撑及筒体结构,此时顶层可采用中心支撑;
⑥超过12层的钢框架-筒体结构,在必要时可设置由筒体向外臂和周边桁架组成的加强层;
⑦楼盖宜采用压型钢板现浇钢筋混凝土组合楼或非组合楼板。
多高层钢结构的抗震概念设计
优先采用延性好的方案
偏心支撑结构的延性好于中心支撑结构。
多道抗震防线的要求
框架——支撑结构和框架——剪力墙结构形成多道抗震防线。
强节点弱构件的要求
强节点有利于保证结构的完整性,应保证节点不先于构件破坏。
1)梁与柱的连接要求——焊缝承载力大于母材。
2)支撑连接要求——连接强度大于支撑强度。
3)梁柱构件拼接要求——焊缝承载力大于构件承载力。
强柱弱梁要求
节点处应满足柱抗弯承载力大于梁抗弯承载力。
偏心支撑框架弱耗能梁段要求
设计原则:强柱、强支撑、弱耗能梁段。
靠耗能梁段的塑性变形消耗能量,保护结构。
多高层钢结构的抗震计算要求
地震作用计算
结构自振周期计算:
可采用能量法或顶点位移法计算,考虑非结构构件对自振周期的影响,可采用0.9的修正系数对周期进行折减。
在初步设计时,基本周期也可按以下经验公式估算:
式中n―建筑物层数(不包括地下部分及屋顶小塔楼)。
满足条件时,可采用底部剪力法计算水平地震作用。
设计反映谱的阻尼修正:
钢结构在弹性阶段(小震)的阻尼比约为0.02,要注意反映谱平台高度会比一般混凝土结构(阻尼比一般为0.05)提高,而下降段的下降指数和倾斜段的斜率也要做相应的的阻尼修正。
地震作用下内力与位移计算
1)多遇地震作用下
结构在第一阶段多遇地震作用下的抗震设计中,其地震作用效应采取弹性方法计算:可根据不同情况,采用底部剪力法、振型分解反应谱法以及时程分析法等方法。
2)罕遇地震作用下
高层钢结构第二阶段的抗震验算应采用时程分析法对结构进行弹塑性时程分析。分析时,塑性阶段的阻尼比可取0.05,并应考虑重力二阶效应(效应)对侧移的影响。
构件的内力组合与设计原则
1)内力组合
在抗震设计中,一般高层钢结构可不考虑风荷载及竖向地震的作用,对于高度大于60m的高层钢结构须考虑风荷载的作用,在9度区尚须考虑竖向地震作用。
2)设计原则
框架梁、柱截面按弹性设计。同时,将框架设计成强柱弱梁体系。
3)抗震验算:
侧移控制
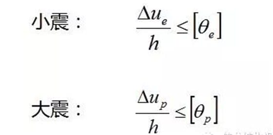
在小震下(弹性阶段),过大的层间变形会造成非结构构件的破坏,而在大震下(弹塑性阶段),过大的变形会造成结构的破坏或倒塌,因此,应限制结构的侧移,使其不超过规范规定的数值。
多高层钢结构抗震构造措施
控制框架柱的长细比——(保证整体稳定性)
控制梁、柱板件宽厚比——(保证局部稳定性)
梁与柱的连接构造——保证节点连接可靠。
钢框架—中心支撑框架结构抗震构造要求
中心支撑的长细比和宽厚比限制要求
钢框架—偏心支撑框架结构抗震构造要求
中心支撑的长细比和宽厚比限制要求
耗能梁段与柱连接的构造要求
其它构造要求
高层钢结构住宅建筑数量的多少往往体现出了一个国家的经济实力,我国的钢产量处于世界领先地位,但是钢材没有得到较好的利用。住宅钢结构抗震性能卓越,材料强度、延性良好,施工便利,便于回收,能够可持续利用,空间使用率高、有效节省土地以及节能、降耗等特点,使其特别适合应用于住宅产业化。
京泊兴彩钢钢结构公司期待您的关注!更多行业信息每天与您分享。

屋面彩钢板